Home Browse Text SearchFunctional Group SearchStructure SearchPreferences Administration

selected data collection: 1

IRIS SDF: browse content


1
  <<    <    >    >>  

1:598542 C57H101F4N3O26
hit structure
1:598543 C81H149F4N3O38
hit structure
1:598544 C140H246N12O64
hit structure
1:598545 C120H230Br4N8O56
hit structure
1:598546 C53H108N2O25
hit structure
1:598547 C26H45NO15
hit structure
1:598548 C58H109NO31
hit structure
1:598549 C67H117F4N3O28S
hit structure
1:598550 C31H44F4N4O9S
hit structure
1:598551 C47H76F4N4O17S
hit structure
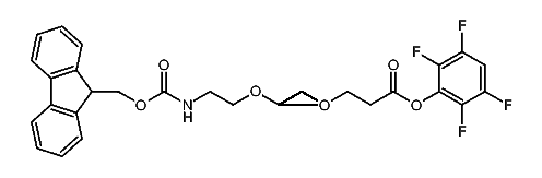
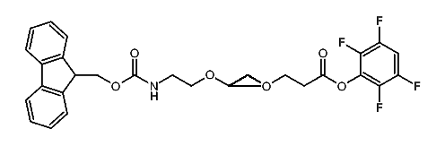
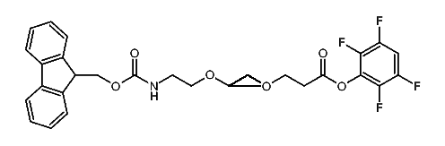
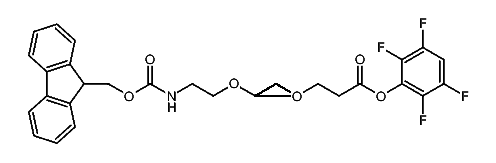
1:598552 C32H33F4NO8
hit structure
1:598553 C40H49F4NO12
hit structure
1:598554 C48H65F4NO16
hit structure
1:598555 C72H113F4NO28
hit structure
1:598556 C96H161F4NO40
hit structure
1:598557 C18H35NO8
hit structure
1:598558 C13H28N2O5
hit structure
1:598559 C15H32N2O6
hit structure
1:598560 C72H132N2O34S2
hit structure
1:598561 C9H20N2O3
hit structure
1:598562 C6H13NO4
hit structure
1:598563 C6H10KN3O4
hit structure
1:598564 C32H53N7O8S
hit structure
1:598565 C38H57N9O9S
hit structure
1:598566 C32H50N4O8S
hit structure

1
  <<    <    >    >>  

entries in data collection: 599680