Home Browse Text SearchFunctional Group SearchStructure SearchPreferences Administration

selected data collection: 1

IRIS SDF: browse content


1
  <<    <    >    >>  

1:598391 C23H28N2O11
hit structure
1:598392 C18H29NO11
hit structure
1:598393 C34H61NO19
hit structure
1:598394 C31H45N5O13
hit structure
1:598395 C37H45F4N5O13
hit structure
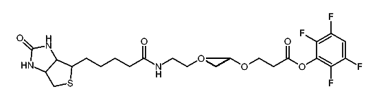
1:598396 C43H69F4N3O16S
hit structure
1:598397 C18H34N4O6S
hit structure
1:598398 C14H26N4O6
hit structure
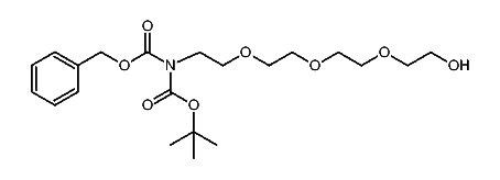
1:598399 C25H30N2O8
hit structure
1:598400 C59H116NO17P
hit structure
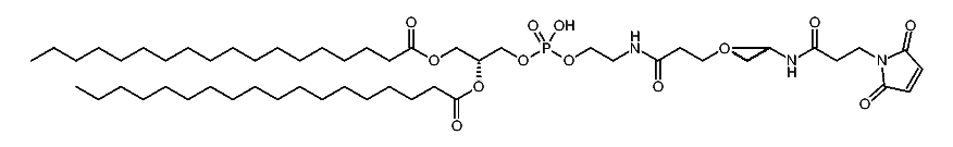
1:598401 C75H140N3O24P
hit structure
1:598402 C25H44N4O8S
hit structure
1:598403 C10H18N4O5
hit structure
1:598404 C10H21N3O5
hit structure
1:598405 C16H34O8S
hit structure
1:598406 C10H22N4O4
hit structure
1:598407 C4H9N3O2
hit structure
1:598408 C4H9N3O2
hit structure
1:598409 C4H9N3O2
hit structure
1:598410 C4H9N3O2
hit structure
1:598411 C21H25NO5
hit structure
1:598412 C23H29NO6
hit structure
1:598413 C21H33NO8
hit structure
1:598414 C10H19N3O4
hit structure
1:598415 C8H15N3O5
hit structure

1
  <<    <    >    >>  

entries in data collection: 599680