Home Browse Text SearchFunctional Group SearchStructure SearchPreferences Administration

selected data collection: 1

IRIS SDF: browse content


1
  <<    <    >    >>  

1:598317 C65H120N4O30S
hit structure
1:598318 C61H117N3O28S
hit structure
1:598319 C112H218N4O53S
hit structure
1:598320 C26H50N4O9S
hit structure
1:598321 C34H66N4O13S
hit structure
1:598322 C58H114N4O25S
hit structure
1:598323 C65H119N5O28S
hit structure
1:598324 C26H48N6O9S
hit structure
1:598325 C34H64N6O13S
hit structure
1:598326 C58H112N6O25S
hit structure
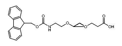
1:598327 C24H29NO7
hit structure
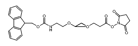
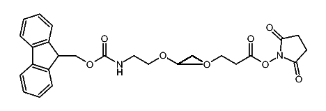
1:598328 C28H37NO9
hit structure
1:598329 C90H161NO40
hit structure
1:598330 C30H36N2O10
hit structure
1:598331 C38H52N2O14
hit structure
1:598332 C46H68N2O18
hit structure
1:598333 C42H59N5O11S
hit structure
1:598334 C58H91N5O19S
hit structure
1:598335 C56H111NO28
hit structure
1:598336 C80H159NO40
hit structure
1:598337 C83H157NO40
hit structure
1:598338 C47H70O15S
hit structure
1:598339 C39H60N2O19
hit structure
1:598340 C26H29NO4
hit structure
1:598341 C29H60N2O14
hit structure

1
  <<    <    >    >>  

entries in data collection: 599680