Home Browse Text SearchFunctional Group SearchStructure SearchPreferences Administration

selected data collection: 1

IRIS SDF: browse content


1
  <<    <    >    >>  

1:598166 C7H15N3O3
hit structure
1:598167 C7H15N3O3
hit structure
1:598168 C27H37F4N7O6S
hit structure
1:598169 C27H37F4N3O8S
hit structure
1:598170 C30H52N6O7S2
hit structure
1:598171 C38H62N4O17
hit structure
1:598172 C10H20O5S
hit structure
1:598173 C11H14F3N3O5
hit structure
1:598174 C20H38N4O5S
hit structure
1:598175 C25H35NO11
hit structure
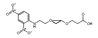
1:598176 C34H60N2O17
hit structure
1:598177 C7H7NO4
hit structure
1:598178 C17H25N3O10
hit structure
1:598179 C21H28N4O12
hit structure
1:598180 C31H39NO6
hit structure
1:598181 C23H33N3O9S2
hit structure
1:598182 C31H49N3O13S2
hit structure
1:598183 C39H65N3O17S2
hit structure
1:598184 C63H113N3O29S2
hit structure
1:598185 C33H57N3O18
hit structure
1:598186 C37H60N4O20
hit structure
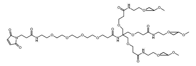
1:598187 C58H106N6O26
hit structure
1:598188 C11H21N3O6
hit structure
1:598189 C16H34N4O7
hit structure
1:598190 C19H38O9
hit structure

1
  <<    <    >    >>  

entries in data collection: 605310