Home Browse Text SearchFunctional Group SearchStructure SearchPreferences Administration

selected data collection: 1

IRIS SDF: browse content


1
  <<    <    >    >>  

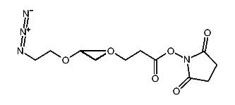
1:598091 C15H24N4O8
hit structure
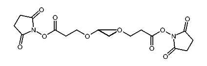
1:598092 C23H40N4O12
hit structure
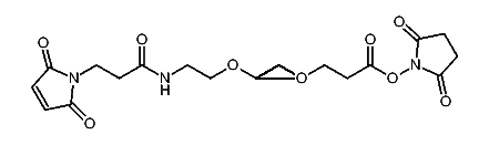
1:598093 C21H39N5O7S
hit structure
1:598094 C14H26O9
hit structure
1:598095 C22H32N2O13
hit structure
1:598096 C30H48N2O17
hit structure
1:598097 C26H38N6O7
hit structure
1:598098 C24H34N4O9
hit structure
1:598099 C19H29NO8
hit structure
1:598100 C34H70N4O13
hit structure
1:598101 C21H37N3O8S
hit structure
1:598102 C15H30O7
hit structure
1:598103 C23H46O11
hit structure
1:598104 C38H63N3O19
hit structure
1:598105 C14H20N2O7
hit structure
1:598106 C18H23N3O9
hit structure
1:598107 C62H111N3O31
hit structure
1:598108 C18H28N2O9
hit structure
1:598109 C22H31N3O11
hit structure
1:598110 C26H39N3O13
hit structure
1:598111 C30H47N3O15
hit structure
1:598112 C41H71N5O16S
hit structure
1:598113 C58H108N2O29
hit structure
1:598114 C27H43N5O8S
hit structure
1:598115 C26H44N2O13
hit structure

1
  <<    <    >    >>  

entries in data collection: 605310