Home Browse Text SearchFunctional Group SearchStructure SearchPreferences Administration

selected data collection: 1

IRIS SDF: browse content


1
  <<    <    >    >>  

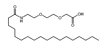
1:597966 C17H28N2O8
hit structure
1:597967 C17H28N2O8
hit structure
1:597968 C11H23NO4S
hit structure
1:597969 C11H23NO4S
hit structure
1:597970 C11H23NO4S
hit structure
1:597971 C27H30N2O8
hit structure
1:597972 C27H30N2O8
hit structure
1:597973 C27H30N2O8
hit structure
1:597974 C20H40O10S
hit structure
1:597975 C19H38O10S
hit structure
1:597976 C6H14O2S2
hit structure
1:597977 C6H14O2S2
hit structure
1:597978 C6H14O2S2
hit structure
1:597979 C6H14O2S2
hit structure
1:597980 C6H14O2S2
hit structure
1:597981 C14H16N2O6
hit structure
1:597982 C14H16N2O6
hit structure
1:597983 C14H16N2O6
hit structure
1:597984 C14H16N2O6
hit structure
1:597985 C34H38N2O7S
hit structure
1:597986 C34H38N2O7S
hit structure
1:597987 C24H47NO5
hit structure
1:597988 C16H36N2O7
hit structure
1:597989 C70H127N3O35
hit structure
1:597990 C74H129NO32
hit structure

1
  <<    <    >    >>  

entries in data collection: 605310