Home Browse Text SearchFunctional Group SearchStructure SearchPreferences Administration

selected data collection: 1

IRIS SDF: browse content


1
  <<    <    >    >>  

1:597907 C16H30N4O4S
hit structure
1:597908 C16H30N4O4S
hit structure
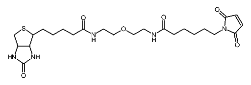
1:597909 C24H37N5O6S
hit structure
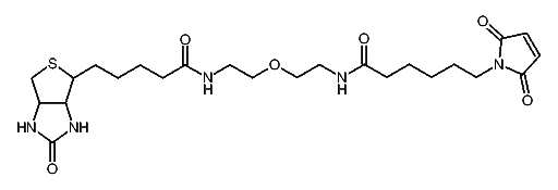
1:597910 C24H37N5O6S
hit structure
1:597911 C24H37N5O6S
hit structure
1:597912 C37H69N3O16S
hit structure
1:597913 C18H31N3O6S
hit structure
1:597914 C18H31N3O6S
hit structure
1:597915 C18H31N3O6S
hit structure
1:597916 C22H34N4O8S
hit structure
1:597917 C22H34N4O8S
hit structure
1:597918 C22H34N4O8S
hit structure
1:597919 C17H26N2O7
hit structure
1:597920 C17H26N2O7
hit structure
1:597921 C17H26N2O7
hit structure
1:597922 C22H31N3O9
hit structure
1:597923 C22H31N3O9
hit structure
1:597924 C22H31N3O9
hit structure
1:597925 C29H60N2O13
hit structure
1:597926 C21H44N2O9
hit structure
1:597927 C9H20N2O3
hit structure
1:597928 C9H20N2O3
hit structure
1:597929 C9H20N2O3
hit structure
1:597930 C25H48N2O13
hit structure
1:597931 C13H25NO6
hit structure

1
  <<    <    >    >>  

entries in data collection: 605310