Home Browse Text SearchFunctional Group SearchStructure SearchPreferences Administration

selected data collection: 1

IRIS SDF: browse content


1
  <<    <    >    >>  

1:597707 C51H61F9N10O15S2
hit structure
1:597708 C55H72N12O11S3
hit structure
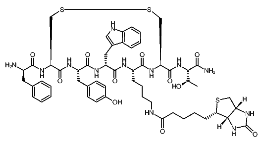
1:597709 C90H106N12O13S3
hit structure
1:597710 C16H28N4O4S
hit structure
1:597711 C46H50N10O9
hit structure
1:597712 C55H65N7O12
hit structure
1:597713 C51H53N7O16
hit structure
1:597714 C48H63N13O10
hit structure
1:597715 C23H34N4O4S3
hit structure
1:597716 C14H20N4O4
hit structure
1:597717 C16H15N5
hit structure
1:597718 C27H38D6O2
hit structure
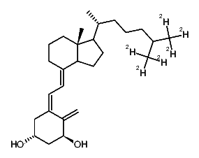
1:597719 C27H40D6O2
hit structure
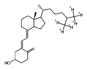
1:597720 C27H38D6O
hit structure
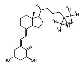
1:597721 C27H38D6O2
hit structure
1:597722 C27H38D6O3
hit structure
1:597723 C27H41D3O
hit structure
1:597724 C27H38D6O
hit structure
1:597725 C27H40D6O
hit structure
1:597726 C28H38D6O2
hit structure
1:597727 C28H38D6O2
hit structure
1:597728 C28H38D6O3
hit structure
1:597729 C28H41D3O
hit structure
1:597730 C28H38D6O
hit structure
1:597731 C29H47D3O2
hit structure

1
  <<    <    >    >>  

entries in data collection: 605310