Home Browse Text SearchFunctional Group SearchStructure SearchPreferences Administration

selected data collection: 1

IRIS SDF: browse content


1
  <<    <    >    >>  

1:596832 C17H29NO9
hit structure
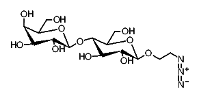
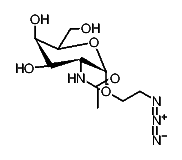
1:596833 C12H23N3O8
hit structure
1:596834 C15H26O9
hit structure
1:596835 C12H23N3O8
hit structure
1:596836 C15H26O9
hit structure
1:596837 C14H26N4O8
hit structure
1:596838 C17H29NO9
hit structure
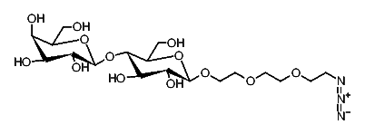
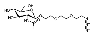
1:596839 C18H33N3O13
hit structure
1:596840 C21H36O14
hit structure
1:596841 C12H23N3O8
hit structure
1:596842 C15H26O9
hit structure
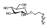
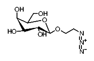
1:596843 C8H15N3O6
hit structure
1:596844 C8H15N3O6
hit structure
1:596845 C8H15N3O6
hit structure
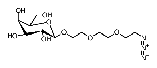
1:596846 C10H18N4O6
hit structure
1:596847 C14H25N3O11
hit structure
1:596848 C15H28O11
hit structure
1:596849 C17H31NO11
hit structure
1:596850 C17H31NO11
hit structure
1:596851 C15H28O11
hit structure
1:596852 C11H20O8
hit structure
1:596853 C11H20O8
hit structure
1:596854 C13H23NO8
hit structure
1:596855 C13H23NO8
hit structure
1:596856 C11H20O8
hit structure

1
  <<    <    >    >>  

entries in data collection: 605310