Home Browse Text SearchFunctional Group SearchStructure SearchPreferences Administration

selected data collection: 1

IRIS SDF: browse content


1
  <<    <    >    >>  

1:595548 C22H25NO4
hit structure
1:595549 C22H25NO4
hit structure
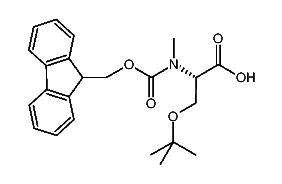
1:595550 C27H34N2O6
hit structure
1:595551 C32H38N2O6
hit structure
1:595552 C25H23NO4
hit structure
1:595553 C23H27NO5
hit structure
1:595554 C20H21NO5S
hit structure
1:595555 C20H21NO6S
hit structure
1:595556 C24H29NO5
hit structure
1:595557 C29H31NO5
hit structure
1:595558 C21H23NO4
hit structure
1:595559 C21H23NO5
hit structure
1:595560 C21H23NO4
hit structure
1:595561 C22H25NO4
hit structure
1:595562 C20H21NO4
hit structure
1:595563 C24H26N2O6
hit structure
1:595564 C24H20ClNO4
hit structure
1:595565 C23H19NO4
hit structure
1:595566 C21H21NO4
hit structure
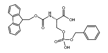
1:595567 C25H24NO8P
hit structure
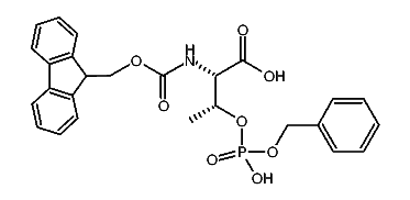
1:595568 C26H26NO8P
hit structure
1:595569 C19H17NO4S
hit structure
1:595570 C25H21NO4
hit structure
1:595571 C26H22N2O4
hit structure
1:595572 C27H25NO5
hit structure

1
  <<    <    >    >>  

entries in data collection: 1146780