Home Browse Text SearchFunctional Group SearchStructure SearchPreferences Administration

selected data collection: 1

IRIS SDF: browse content


1
  <<    <    >    >>  

1:595449 C37H31NO5
hit structure
1:595450 C23H27NO5
hit structure
1:595451 C20H21NO5
hit structure
1:595452 C20H21NO5
hit structure
1:595453 C38H33NO5
hit structure
1:595454 C31H30N2O6
hit structure
1:595455 C28H29NO5
hit structure
1:595456 C43H34ClNO5
hit structure
1:595457 C25H23NO5
hit structure
1:595458 C20H21NO4
hit structure
1:595459 C29H24N2O4
hit structure
1:595460 C29H24N2O4
hit structure
1:595461 C29H24N2O4
hit structure
1:595462 C29H24N2O4
hit structure
1:595463 C24H19NO4
hit structure
1:595464 C21H21NO5
hit structure
1:595465 C21H21NO5
hit structure
1:595466 C26H25NO5
hit structure
1:595467 C29H29NO6
hit structure
1:595468 C18H17NO4
hit structure
1:595469 C28H23NO4
hit structure
1:595470 C23H20N2O4
hit structure
1:595471 C21H23NO4
hit structure
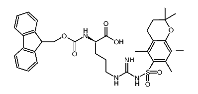
1:595472 C34H40N4O7S
hit structure
1:595473 C35H42N4O7S
hit structure

1
  <<    <    >    >>  

entries in data collection: 599680