Home Browse Text SearchFunctional Group SearchStructure SearchPreferences Administration

selected data collection: 1

IRIS SDF: browse content


1
  <<    <    >    >>  

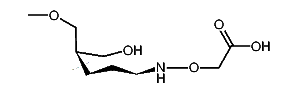
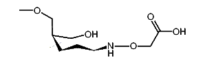
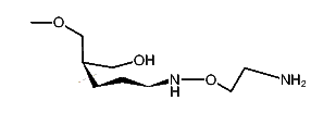
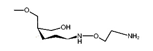
1:595260 C16H25NO6
hit structure
1:595261 C31H36N2O6
hit structure
1:595262 C31H36N2O6
hit structure
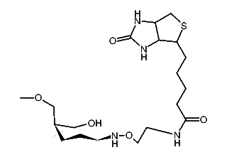
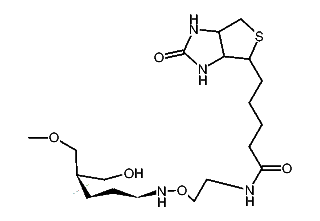
1:595263 C34H42N2O6
hit structure
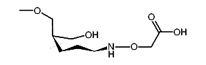
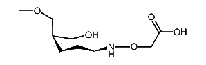
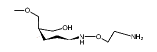
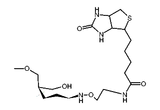
1:595264 C15H23NO4S
hit structure
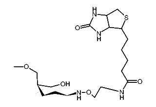
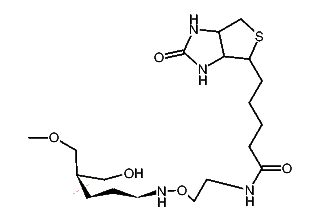
1:595265 C34H42N2O6
hit structure
1:595266 C32H38N2O6
hit structure
1:595267 C11H28N2O3
hit structure
1:595268 C11H28N2O3
hit structure
1:595269 C11H28N2O3
hit structure
1:595270 C11H28N2O3
hit structure
1:595271 C11H28N2O3
hit structure
1:595272 C11H28N2O3
hit structure
1:595273 C11H25NO5
hit structure
1:595274 C11H25NO5
hit structure
1:595275 C11H25NO5
hit structure
1:595276 C11H25NO5
hit structure
1:595277 C11H25NO5
hit structure
1:595278 C11H25NO5
hit structure
1:595279 C21H42N4O5S
hit structure
1:595280 C21H42N4O5S
hit structure
1:595281 C21H42N4O5S
hit structure
1:595282 C21H42N4O5S
hit structure
1:595283 C21H42N4O5S
hit structure
1:595284 C12H29NO3S
hit structure

1
  <<    <    >    >>  

entries in data collection: 599680