Home Browse Text SearchFunctional Group SearchStructure SearchPreferences Administration

selected data collection: 1

IRIS SDF: browse content


1
  <<    <    >    >>  

1:595217 C11H17NO
hit structure
1:595218 C15H21NO4
hit structure
1:595219 C11H17NO
hit structure
1:595220 C11H15BrO
hit structure
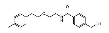
1:595221 C17H25NO3
hit structure
1:595222 C18H30O5
hit structure
1:595223 C19H22O4
hit structure
1:595224 C18H20O3
hit structure
1:595225 C19H23NO3
hit structure
1:595226 C43H44N2O7
hit structure
1:595227 C16H22O4
hit structure
1:595228 C11H16OS
hit structure
1:595229 C31H31NO3
hit structure
1:595230 C18H22O3
hit structure
1:595231 C11H15BrO
hit structure
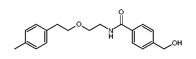
1:595232 C17H25NO3
hit structure
1:595233 C18H30O5
hit structure
1:595234 C19H22O4
hit structure
1:595235 C18H20O3
hit structure
1:595236 C19H23NO3
hit structure
1:595237 C43H44N2O7
hit structure
1:595238 C16H22O4
hit structure
1:595239 C11H16OS
hit structure
1:595240 C31H31NO3
hit structure
1:595241 C18H22O3
hit structure

1
  <<    <    >    >>  

entries in data collection: 599680