Home Browse Text SearchFunctional Group SearchStructure SearchPreferences Administration

selected data collection: 1

IRIS SDF: browse content


1
  <<    <    >    >>  

1:595060 C15H32N2O4
hit structure
1:595061 C11H24N2O4
hit structure
1:595062 C7H16N2O2
hit structure
1:595063 C14H22N2O2
hit structure
1:595064 C23H26BrN2O2P
hit structure
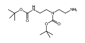
1:595065 C9H18N2O2
hit structure
1:595066 C9H18N2O2
hit structure
1:595067 C11H22N2O2
hit structure
1:595068 C15H32N2O5
hit structure
1:595069 C13H26N2O2
hit structure
1:595070 C9H20N2O2
hit structure
1:595071 C10H22N2O2
hit structure
1:595072 C13H26N2O2
hit structure
1:595073 C8H18N2O2
hit structure
1:595074 C9H20N2O2
hit structure
1:595075 C11H22N2O2
hit structure
1:595076 C9H20N2O2S2
hit structure
1:595077 C16H26N2O2
hit structure
1:595078 C13H26N2O2
hit structure
1:595079 C14H29N3O4
hit structure
1:595080 C14H29N3O4
hit structure
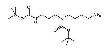
1:595081 C16H33N3O4
hit structure
1:595082 C16H33N3O4
hit structure
1:595083 C17H35N3O4
hit structure
1:595084 C17H35N3O4
hit structure

1
  <<    <    >    >>  

entries in data collection: 599680