Home Browse Text SearchFunctional Group SearchStructure SearchPreferences Administration

selected data collection: 1

IRIS SDF: browse content


1
  <<    <    >    >>  

1:594534 C14H20N2O4
hit structure
1:594535 C29H30N2O6
hit structure
1:594536 C14H18N2O6
hit structure
1:594537 C14H14F5NO4
hit structure
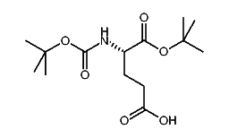
1:594538 C10H15NO4
hit structure
1:594539 C16H23NO5
hit structure
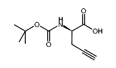
1:594540 C11H21NO4
hit structure
1:594541 C21H23Cl2NO5
hit structure
1:594542 C21H25NO5
hit structure
1:594543 C18H21NO4
hit structure
1:594544 C9H17NO4
hit structure
1:594545 C16H21NO4
hit structure
1:594546 C18H21NO4
hit structure
1:594547 C13H18N2O4
hit structure
1:594548 C21H34N4O7S
hit structure
1:594549 C16H21NO6
hit structure
1:594550 C21H23NO5
hit structure
1:594551 C14H25NO4
hit structure
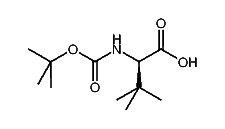
1:594552 C13H23NO4
hit structure
1:594553 C14H25NO6
hit structure
1:594554 C18H23N3O4
hit structure
1:594555 C15H21NO5
hit structure
1:594556 C17H23NO5
hit structure
1:594557 C14H17NO4
hit structure
1:594558 C26H32N2O6
hit structure

1
  <<    <    >    >>  

entries in data collection: 599680