Home Browse Text SearchFunctional Group SearchStructure SearchPreferences Administration

selected data collection: 1

IRIS SDF: browse content


1
  <<    <    >    >>  

1:592112 C13H20N2O2S2
hit structure
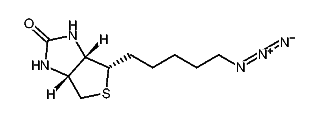
1:592113 C18H26N4O2S
hit structure
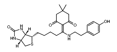
1:592114 C26H35N3O4S
hit structure
1:592115 C18H26N2O4S
hit structure
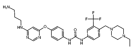
1:592116 C30H47N5O5S
hit structure
1:592117 C187H291N45O59
hit structure
1:592118 C172H265N43O51
hit structure
1:592119 C20H29N3O3S
hit structure
1:592120 C18H18ClFN4O2
hit structure
1:592121 C18H18ClFN4O2
hit structure
1:592122 C26H24N4O2
hit structure
1:592123 C22H19Cl2N5O2
hit structure
1:592124 C22H27FN4O2
hit structure
1:592125 C32H38N8O
hit structure
1:592126 C29H36Cl2N6O3
hit structure
1:592127 C28H35F3N8O2
hit structure
1:592128 C26H23F3N4O4
hit structure
1:592129 C26H23F3N4O4
hit structure
1:592130 C28H45N5O6S3
hit structure
1:592131 C12H21N3O2S2
hit structure
1:592132 C23H42N4O6S2
hit structure
1:592133 C28H30N4O3S
hit structure
1:592134 C20H25N7O2S
hit structure
1:592135 C31H46N8O7S
hit structure
1:592136 C10H17N5OS
hit structure

1
  <<    <    >    >>  

entries in data collection: 594050