Home Browse Text SearchFunctional Group SearchStructure SearchPreferences Administration

selected data collection: 1

IRIS SDF: browse content


1
  <<    <    >    >>  

1:591128 C26H30N2O5
hit structure
1:591129 C31H39N3O7
hit structure
1:591130 C26H24N2O5
hit structure
1:591131 C29H28N2O5
hit structure
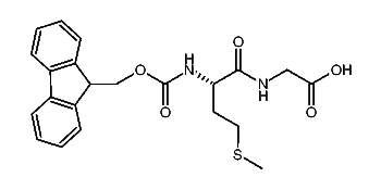
1:591132 C22H22N2O5
hit structure
1:591133 C25H26N2O5
hit structure
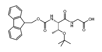
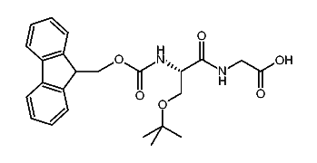
1:591134 C24H28N2O6
hit structure
1:591135 C27H32N2O6
hit structure
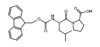
1:591136 C25H30N2O6
hit structure
1:591137 C31H29N3O5
hit structure
1:591138 C22H24N2O5
hit structure
1:591139 C25H28N2O5
hit structure
1:591140 C35H40N2O9
hit structure
1:591141 C35H28N2O7
hit structure
1:591142 C36H43N5O8S
hit structure
1:591143 C28H35N3O7
hit structure
1:591144 C22H24N2O5S
hit structure
1:591145 C27H29N3O7
hit structure
1:591146 C31H34N2O7
hit structure
1:591147 C26H35N5O5
hit structure
1:591148 C32H36N2O7
hit structure
1:591149 C29H30N2O7
hit structure
1:591150 C34H38N2O9
hit structure
1:591151 C28H28N2O7
hit structure
1:591152 C32H36N2O7
hit structure

1
  <<    <    >    >>  

entries in data collection: 594050