Home Browse Text SearchFunctional Group SearchStructure SearchPreferences Administration

selected data collection: 1

IRIS SDF: browse content


1
  <<    <    >    >>  

1:589875 C27H25NO5
hit structure
1:589876 C28H29NO5
hit structure
1:589877 C20H21NO4
hit structure
1:589878 C19H19NO4
hit structure
1:589879 C21H21NO4
hit structure
1:589880 C19H19NO4
hit structure
1:589881 C28H23NO4
hit structure
1:589882 C26H25NO5
hit structure
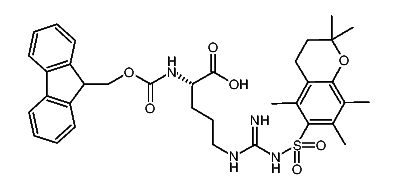
1:589883 C35H42N4O7S
hit structure
1:589884 C22H21NO6
hit structure
1:589885 C22H21NO6
hit structure
1:589886 C23H25NO6
hit structure
1:589887 C24H27NO4
hit structure
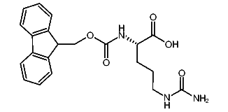
1:589888 C21H23N3O5
hit structure
1:589889 C23H25NO4
hit structure
1:589890 C22H23NO4
hit structure
1:589891 C18H17NO4S
hit structure
1:589892 C23H24N2O6
hit structure
1:589893 C24H28N2O6
hit structure
1:589894 C29H32N2O6
hit structure
1:589895 C22H22N2O6
hit structure
1:589896 C23H26N2O6
hit structure
1:589897 C29H35NO8
hit structure
1:589898 C20H20N2O5
hit structure
1:589899 C23H23NO6
hit structure

1
  <<    <    >    >>  

entries in data collection: 594050