Home Browse Text SearchFunctional Group SearchStructure SearchPreferences Administration

selected data collection: 1

IRIS SDF: browse content


1
  <<    <    >    >>  

1:589750 C26H21FN2O4
hit structure
1:589751 C22H25NO4
hit structure
1:589752 C32H25NO4
hit structure
1:589753 C24H18F3NO4
hit structure
1:589754 C26H21ClN2O4
hit structure
1:589755 C22H24N2O5
hit structure
1:589756 C44H37NO4S
hit structure
1:589757 C25H24N2O6S
hit structure
1:589758 C34H30F3NO7S
hit structure
1:589759 C39H42N4O7S
hit structure
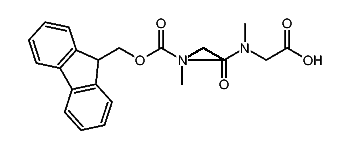
1:589760 C23H27NO5
hit structure
1:589761 C30H32BNO6
hit structure
1:589762 C34H39BN2O7
hit structure
1:589763 C28H28N2O6
hit structure
1:589764 C45H62N10O13
hit structure
1:589765 C51H72N12O15
hit structure
1:589766 C29H32N2O6
hit structure
1:589767 C25H29NO6
hit structure
1:589768 C26H31NO6
hit structure
1:589769 C27H33NO6
hit structure
1:589770 C25H27NO4
hit structure
1:589771 C28H27NO4
hit structure
1:589772 C28H27NO4
hit structure
1:589773 C18H17NO4
hit structure
1:589774 C18H17NO4
hit structure

1
  <<    <    >    >>  

entries in data collection: 594050