Home Browse Text SearchFunctional Group SearchStructure SearchPreferences Administration

selected data collection: 1

IRIS SDF: browse content


1
  <<    <    >    >>  

1:589625 C29H32N2O6
hit structure
1:589626 C28H30N2O6
hit structure
1:589627 C20H30N2O6
hit structure
1:589628 C21H34N2O6
hit structure
1:589629 C31H36N2O6
hit structure
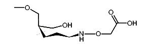
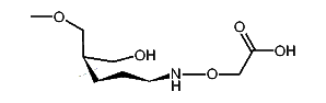
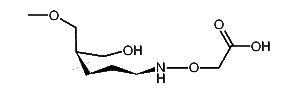
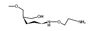
1:589630 C16H25NO6
hit structure
1:589631 C31H36N2O6
hit structure
1:589632 C31H36N2O6
hit structure
1:589633 C34H42N2O6
hit structure
1:589634 C15H23NO4S
hit structure
1:589635 C34H42N2O6
hit structure
1:589636 C32H38N2O6
hit structure
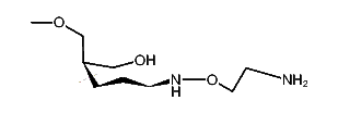
1:589637 C11H28N2O3
hit structure
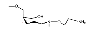
1:589638 C11H28N2O3
hit structure
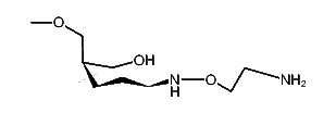
1:589639 C11H28N2O3
hit structure
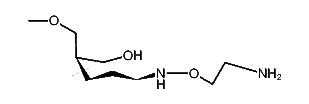
1:589640 C11H28N2O3
hit structure
1:589641 C11H28N2O3
hit structure
1:589642 C11H28N2O3
hit structure
1:589643 C11H25NO5
hit structure
1:589644 C11H25NO5
hit structure
1:589645 C11H25NO5
hit structure
1:589646 C11H25NO5
hit structure
1:589647 C11H25NO5
hit structure
1:589648 C11H25NO5
hit structure
1:589649 C21H42N4O5S
hit structure

1
  <<    <    >    >>  

entries in data collection: 594050