Home Browse Text SearchFunctional Group SearchStructure SearchPreferences Administration

selected data collection: 1

IRIS SDF: browse content


1
  <<    <    >    >>  

1:586842 C15H30O7
hit structure
1:586843 C23H46O11
hit structure
1:586844 C38H63N3O19
hit structure
1:586845 C14H20N2O7
hit structure
1:586846 C18H23N3O9
hit structure
1:586847 C62H111N3O31
hit structure
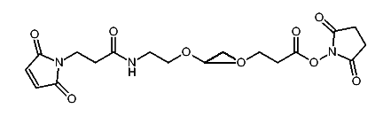
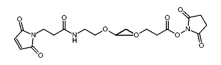
1:586848 C18H28N2O9
hit structure
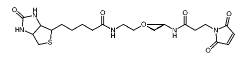
1:586849 C22H31N3O11
hit structure
1:586850 C26H39N3O13
hit structure
1:586851 C30H47N3O15
hit structure
1:586852 C41H71N5O16S
hit structure
1:586853 C58H108N2O29
hit structure
1:586854 C27H43N5O8S
hit structure
1:586855 C26H44N2O13
hit structure
1:586856 C10H20O6
hit structure
1:586857 C18H36O10
hit structure
1:586858 C6H12O4
hit structure
1:586859 C52H104O27
hit structure
1:586860 C25H53NO12
hit structure
1:586861 C25H51N3O12
hit structure
1:586862 C32H58N2O15
hit structure
1:586863 C49H101NO24
hit structure
1:586864 C56H106N2O27
hit structure
1:586865 C9H21NO4
hit structure
1:586866 C9H19N3O4
hit structure

1
  <<    <    >    >>  

entries in data collection: 588420