Home Browse Text SearchFunctional Group SearchStructure SearchPreferences Administration

selected data collection: 1

IRIS SDF: browse content


1
  <<    <    >    >>  

1:586717 C6H14O2S2
hit structure
1:586718 C6H14O2S2
hit structure
1:586719 C6H14O2S2
hit structure
1:586720 C6H14O2S2
hit structure
1:586721 C14H16N2O6
hit structure
1:586722 C14H16N2O6
hit structure
1:586723 C14H16N2O6
hit structure
1:586724 C14H16N2O6
hit structure
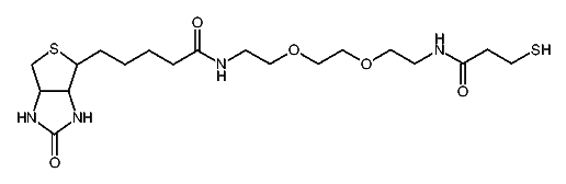
1:586725 C34H38N2O7S
hit structure
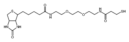
1:586726 C34H38N2O7S
hit structure
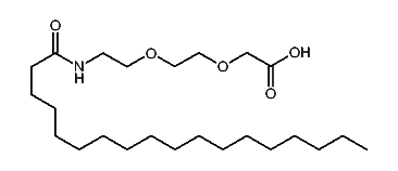
1:586727 C24H47NO5
hit structure
1:586728 C16H36N2O7
hit structure
1:586729 C70H127N3O35
hit structure
1:586730 C74H129NO32
hit structure
1:586731 C19H34N4O5S2
hit structure
1:586732 C19H34N4O5S2
hit structure
1:586733 C19H34N4O5S2
hit structure
1:586734 C7H15N3O3
hit structure
1:586735 C12H24N2O7
hit structure
1:586736 C54H48N2O6
hit structure
1:586737 C39H41NO7
hit structure
1:586738 C26H25NO5
hit structure
1:586739 C55H47N3O5
hit structure
1:586740 C36H37NO5
hit structure
1:586741 C36H37NO5
hit structure

1
  <<    <    >    >>  

entries in data collection: 588420