Home Browse Text SearchFunctional Group SearchStructure SearchPreferences Administration

selected data collection: 1

IRIS SDF: browse content


1
  <<    <    >    >>  

1:585558 C32H36N2O13
hit structure
1:585559 C56H65N3O24
hit structure
1:585560 C33H38N2O13
hit structure
1:585561 C44H52N2O21
hit structure
1:585562 C45H54N2O21
hit structure
1:585563 C32H36N2O13
hit structure
1:585564 C6H12O6
hit structure
1:585565 C33H36N2O14
hit structure
1:585566 C32H35NO14
hit structure
1:585567 C32H35NO14
hit structure
1:585568 C33H37NO14
hit structure
1:585569 C33H38N2O13
hit structure
1:585570 C9H18O5S
hit structure
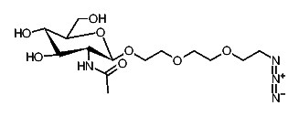
1:585571 C14H26N4O8
hit structure
1:585572 C17H29NO9
hit structure
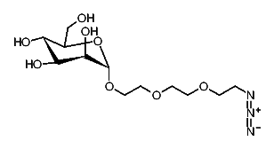
1:585573 C12H23N3O8
hit structure
1:585574 C15H26O9
hit structure
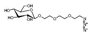
1:585575 C12H23N3O8
hit structure
1:585576 C15H26O9
hit structure
1:585577 C14H26N4O8
hit structure
1:585578 C17H29NO9
hit structure
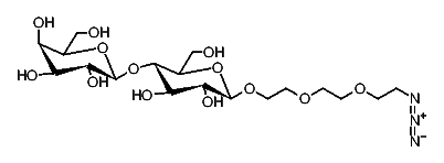
1:585579 C18H33N3O13
hit structure
1:585580 C21H36O14
hit structure
1:585581 C12H23N3O8
hit structure
1:585582 C15H26O9
hit structure

1
  <<    <    >    >>  

entries in data collection: 588420