Home Browse Text SearchFunctional Group SearchStructure SearchPreferences Administration

selected data collection: 1

IRIS SDF: browse content


1
  <<    <    >    >>  

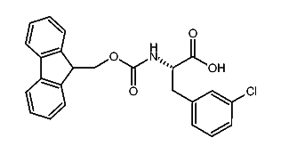
1:584483 C24H20ClNO4
hit structure
1:584484 C24H20FNO4
hit structure
1:584485 C24H20INO4
hit structure
1:584486 C24H20BrNO4
hit structure
1:584487 C35H40N4O8
hit structure
1:584488 C24H22N2O4
hit structure
1:584489 C29H30N2O6
hit structure
1:584490 C24H20N2O6
hit structure
1:584491 C24H16F5NO4
hit structure
1:584492 C25H24NO7P
hit structure
1:584493 C25H33NO5Si
hit structure
1:584494 C21H23NO4
hit structure
1:584495 C31H25Cl2NO5
hit structure
1:584496 C32H26BrNO7
hit structure
1:584497 C24H19I2NO5
hit structure
1:584498 C24H20INO5
hit structure
1:584499 C24H20N2O7
hit structure
1:584500 C31H27NO5
hit structure
1:584501 C24H22NO8P
hit structure
1:584502 C24H21NO5
hit structure
1:584503 C21H21NO4
hit structure
1:584504 C21H21NO4
hit structure
1:584505 C23H27NO5
hit structure
1:584506 C20H17NO4
hit structure
1:584507 C24H28N2O6
hit structure

1
  <<    <    >    >>  

entries in data collection: 599680