Home Browse Text SearchFunctional Group SearchStructure SearchPreferences Administration

selected data collection: 1

IRIS SDF: browse content


1
  <<    <    >    >>  

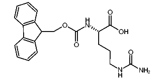
1:584258 C21H23N3O5
hit structure
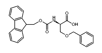
1:584259 C23H25NO4
hit structure
1:584260 C22H23NO4
hit structure
1:584261 C18H17NO4S
hit structure
1:584262 C23H24N2O6
hit structure
1:584263 C24H28N2O6
hit structure
1:584264 C29H32N2O6
hit structure
1:584265 C22H22N2O6
hit structure
1:584266 C23H26N2O6
hit structure
1:584267 C29H35NO8
hit structure
1:584268 C20H20N2O5
hit structure
1:584269 C23H23NO6
hit structure
1:584270 C23H23NO6
hit structure
1:584271 C20H19NO6
hit structure
1:584272 C24H27NO6
hit structure
1:584273 C26H27N3O6
hit structure
1:584274 C25H23NO5
hit structure
1:584275 C24H23N3O4
hit structure
1:584276 C32H42N4O8
hit structure
1:584277 C22H25N3O5
hit structure
1:584278 C22H25NO4
hit structure
1:584279 C25H28N2O6
hit structure
1:584280 C31H36N2O6
hit structure
1:584281 C36H34N2O6
hit structure
1:584282 C29H30N2O6
hit structure

1
  <<    <    >    >>  

entries in data collection: 605310