Home Browse Text SearchFunctional Group SearchStructure SearchPreferences Administration

selected data collection: 1

IRIS SDF: browse content


1
  <<    <    >    >>  

1:582165 C23H21F9N4O4S
hit structure
1:582166 C21H16F9NO5S
hit structure
1:582167 C35H41F9N4O6S2
hit structure
1:582168 C16H30N4O4S
hit structure
1:582169 C7H7N3O
hit structure
1:582170 C8H4N2O4S
hit structure
1:582171 C12H16N2O5S2
hit structure
1:582172 C5H9N3O2S2
hit structure
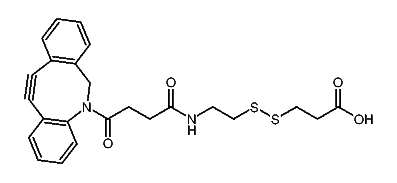
1:582173 C24H24N2O4S2
hit structure
1:582174 C14H24N6O2S3
hit structure
1:582175 C20H22BNO7
hit structure
1:582176 C36H35BN2O13
hit structure
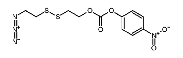
1:582177 C11H12N4O5S2
hit structure
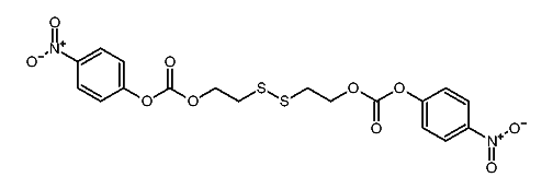
1:582178 C18H16N2O10S2
hit structure
1:582179 C19H14N2O4S3
hit structure
1:582180 C10H17NOS
hit structure
1:582181 C13H22N2O2S
hit structure
1:582182 C14H21NO4S
hit structure
1:582183 C18H34N4O5S
hit structure
1:582184 C10H8N4OS
hit structure
1:582185 C20H22N6O3S2
hit structure
1:582186 C23H28N6O3S2
hit structure
1:582187 C31H43N7O8S2
hit structure
1:582188 C31H19N5O6S2
hit structure
1:582189 C55H56N6O5S2
hit structure

1
  <<    <    >    >>  

entries in data collection: 582790