Home Browse Text SearchFunctional Group SearchStructure SearchPreferences Administration

selected data collection: 1

IRIS SDF: browse content


1
  <<    <    >    >>  

1:582090 C30H35NO7
hit structure
1:582091 C13H19N3O3
hit structure
1:582092 C11H15N5O4
hit structure
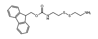
1:582093 C15H25N3O4S3
hit structure
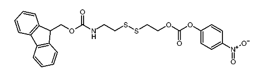
1:582094 C23H26N2O5S2
hit structure
1:582095 C10H18N4O3S2
hit structure
1:582096 C10H15NO3S2
hit structure
1:582097 C53H59N3O5S
hit structure
1:582098 C53H60N4O4S
hit structure
1:582099 C19H22N2O2S2
hit structure
1:582100 C14H26N4O2S3
hit structure
1:582101 C9H12N2O4
hit structure
1:582102 C7H8N2O2
hit structure
1:582103 C17H21N3O8
hit structure
1:582104 C10H12N2O6
hit structure
1:582105 C15H21NO4
hit structure
1:582106 C28H31N3O8
hit structure
1:582107 C12H18N4O4
hit structure
1:582108 C13H19N3O2S
hit structure
1:582109 C14H12N2O5S2
hit structure
1:582110 C9H19NO3S2
hit structure
1:582111 C16H22N2O7S2
hit structure
1:582112 C19H21NO3S2
hit structure
1:582113 C26H24N2O7S2
hit structure
1:582114 C19H14N2O5S2
hit structure

1
  <<    <    >    >>  

entries in data collection: 582790