Home Browse Text SearchFunctional Group SearchStructure SearchPreferences Administration

selected data collection: 1

IRIS SDF: browse content


1
  <<    <    >    >>  

1:576540 C8H4N2O4S
hit structure
1:576541 C12H16N2O5S2
hit structure
1:576542 C5H9N3O2S2
hit structure
1:576543 C24H24N2O4S2
hit structure
1:576544 C14H24N6O2S3
hit structure
1:576545 C20H22BNO7
hit structure
1:576546 C36H35BN2O13
hit structure
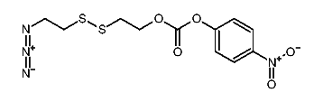
1:576547 C11H12N4O5S2
hit structure
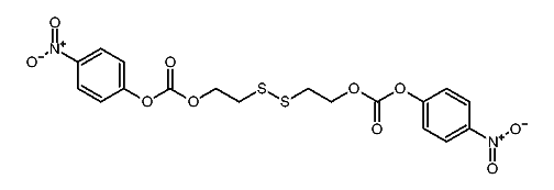
1:576548 C18H16N2O10S2
hit structure
1:576549 C19H14N2O4S3
hit structure
1:576550 C10H17NOS
hit structure
1:576551 C13H22N2O2S
hit structure
1:576552 C14H21NO4S
hit structure
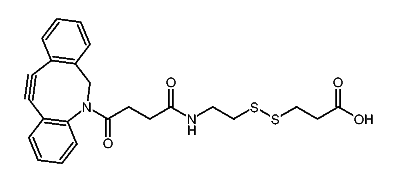
1:576553 C18H34N4O5S
hit structure
1:576554 C10H8N4OS
hit structure
1:576555 C20H22N6O3S2
hit structure
1:576556 C23H28N6O3S2
hit structure
1:576557 C31H43N7O8S2
hit structure
1:576558 C31H19N5O6S2
hit structure
1:576559 C55H56N6O5S2
hit structure
1:576560 C15H12N4O2S
hit structure
1:576561 C15H15N7O2S
hit structure
1:576562 C12H9N3O3S
hit structure
1:576563 C30H23N5O3S
hit structure
1:576564 C12H22N4O6
hit structure

1
  <<    <    >    >>  

entries in data collection: 577160