Home Browse Text SearchFunctional Group SearchStructure SearchPreferences Administration

selected data collection: 1

IRIS SDF: browse content


1
  <<    <    >    >>  

1:576015 C64H108F4N2O29
hit structure
1:576016 C88H156F4N2O41
hit structure
1:576017 C115H209F4N3O54
hit structure
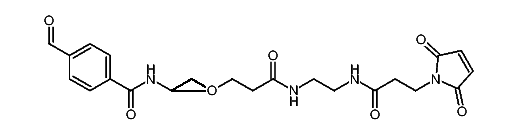
1:576018 C19H24BrF4NO7
hit structure
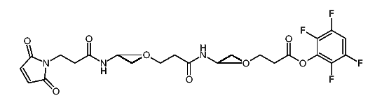
1:576019 C35H56BrF4NO15
hit structure
1:576020 C59H104BrF4NO27
hit structure
1:576021 C44H70N4O18
hit structure
1:576022 C57H101F4N3O26
hit structure
1:576023 C81H149F4N3O38
hit structure
1:576024 C140H246N12O64
hit structure
1:576025 C120H230Br4N8O56
hit structure
1:576026 C53H108N2O25
hit structure
1:576027 C26H45NO15
hit structure
1:576028 C58H109NO31
hit structure
1:576029 C67H117F4N3O28S
hit structure
1:576030 C31H44F4N4O9S
hit structure
1:576031 C47H76F4N4O17S
hit structure
1:576032 C32H33F4NO8
hit structure
1:576033 C40H49F4NO12
hit structure
1:576034 C48H65F4NO16
hit structure
1:576035 C72H113F4NO28
hit structure
1:576036 C96H161F4NO40
hit structure
1:576037 C18H35NO8
hit structure
1:576038 C13H28N2O5
hit structure
1:576039 C15H32N2O6
hit structure

1
  <<    <    >    >>  

entries in data collection: 582790