Home Browse Text SearchFunctional Group SearchStructure SearchPreferences Administration

selected data collection: 1

IRIS SDF: browse content


1
  <<    <    >    >>  

1:575743 C6H11IN4O2
hit structure
1:575744 C6H11IN4O2
hit structure
1:575745 C80H155NO41
hit structure
1:575746 C76H152O39
hit structure
1:575747 C102H203NO51
hit structure
1:575748 C47H96O24
hit structure
1:575749 C73H148O37
hit structure
1:575750 C31H65NO15
hit structure
1:575751 C73H149NO36
hit structure
1:575752 C97H197NO48
hit structure
1:575753 C75H151NO38
hit structure
1:575754 C80H154N2O39
hit structure
1:575755 C104H202N2O51
hit structure
1:575756 C178H346N6O86
hit structure
1:575757 C73H147N3O36
hit structure
1:575758 C27H54O14S
hit structure
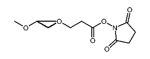
1:575759 C9H20O4S
hit structure
1:575760 C17H36O8S
hit structure
1:575761 C25H52O12S
hit structure
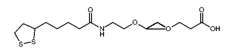
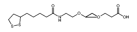
1:575762 C19H35NO7S2
hit structure
1:575763 C27H51NO11S2
hit structure
1:575764 C59H115NO27S2
hit structure
1:575765 C25H41N3O7S2
hit structure
1:575766 C39H69N3O15S2
hit structure
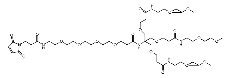
1:575767 C28H50N4O6S3
hit structure

1
  <<    <    >    >>  

entries in data collection: 588420