Home Browse Text SearchFunctional Group SearchStructure SearchPreferences Administration

selected data collection: 1

IRIS SDF: browse content


1
  <<    <    >    >>  

1:575191 C46H50N10O9
hit structure
1:575192 C55H65N7O12
hit structure
1:575193 C51H53N7O16
hit structure
1:575194 C48H63N13O10
hit structure
1:575195 C23H34N4O4S3
hit structure
1:575196 C14H20N4O4
hit structure
1:575197 C16H15N5
hit structure
1:575198 C27H38D6O2
hit structure
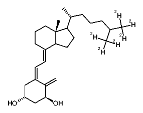
1:575199 C27H40D6O2
hit structure
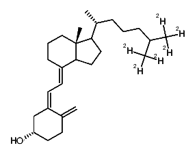
1:575200 C27H38D6O
hit structure
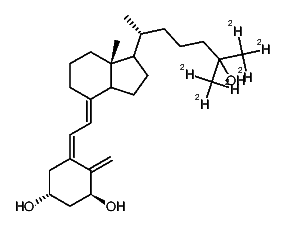
1:575201 C27H38D6O2
hit structure
1:575202 C27H38D6O3
hit structure
1:575203 C27H41D3O
hit structure
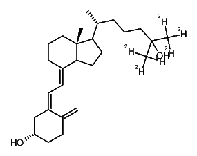
1:575204 C27H38D6O
hit structure
1:575205 C27H40D6O
hit structure
1:575206 C28H38D6O2
hit structure
1:575207 C28H38D6O2
hit structure
1:575208 C28H38D6O3
hit structure
1:575209 C28H41D3O
hit structure
1:575210 C28H38D6O
hit structure
1:575211 C29H47D3O2
hit structure
1:575212 C29H44D6O2
hit structure
1:575213 C31H46D6O3
hit structure
1:575214 C29H41D9O2
hit structure
1:575215 C31H43D9O3
hit structure

1
  <<    <    >    >>  

entries in data collection: 594050