Home Browse Text SearchFunctional Group SearchStructure SearchPreferences Administration

selected data collection: 1

IRIS SDF: browse content


1
  <<    <    >    >>  

1:574319 C18H33N3O13
hit structure
1:574320 C21H36O14
hit structure
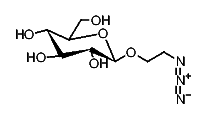
1:574321 C12H23N3O8
hit structure
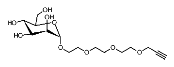
1:574322 C15H26O9
hit structure
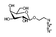
1:574323 C8H15N3O6
hit structure
1:574324 C8H15N3O6
hit structure
1:574325 C8H15N3O6
hit structure
1:574326 C10H18N4O6
hit structure
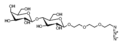
1:574327 C14H25N3O11
hit structure
1:574328 C15H28O11
hit structure
1:574329 C17H31NO11
hit structure
1:574330 C17H31NO11
hit structure
1:574331 C15H28O11
hit structure
1:574332 C11H20O8
hit structure
1:574333 C11H20O8
hit structure
1:574334 C13H23NO8
hit structure
1:574335 C13H23NO8
hit structure
1:574336 C11H20O8
hit structure
1:574337 C31H36N6O7
hit structure
1:574338 C15H15Cl2N5O6
hit structure
1:574339 C28H31ClN6O7
hit structure
1:574340 C28H31ClN6O7
hit structure
1:574341 C22H24N2O9S
hit structure
1:574342 C24H28FN3O10
hit structure
1:574343 C30H42N2O11
hit structure

1
  <<    <    >    >>  

entries in data collection: 582790