Home Browse Text SearchFunctional Group SearchStructure SearchPreferences Administration

selected data collection: 1

IRIS SDF: browse content


1
  <<    <    >    >>  

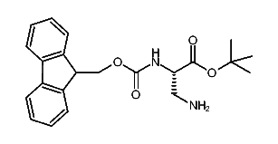
1:573275 C29H29NO6
hit structure
1:573276 C22H21N3O4
hit structure
1:573277 C22H21N3O4
hit structure
1:573278 C25H23NO4
hit structure
1:573279 C27H22N2O5
hit structure
1:573280 C24H27NO6
hit structure
1:573281 C23H25NO6
hit structure
1:573282 C26H32N2O6
hit structure
1:573283 C22H24N2O5
hit structure
1:573284 C18H18N2O4
hit structure
1:573285 C19H18N4O4
hit structure
1:573286 C19H18N4O4
hit structure
1:573287 C22H26N2O4
hit structure
1:573288 C20H18N4O4
hit structure
1:573289 C21H21NO4
hit structure
1:573290 C21H19NO4
hit structure
1:573291 C30H34N2O6
hit structure
1:573292 C19H18N4O4
hit structure
1:573293 C42H38N2O8
hit structure
1:573294 C22H23NO4
hit structure
1:573295 C23H25NO4
hit structure
1:573296 C24H27NO4
hit structure
1:573297 C25H29NO4
hit structure
1:573298 C22H23NO5
hit structure
1:573299 C42H42N2O8
hit structure

1
  <<    <    >    >>  

entries in data collection: 577160