Home Browse Text SearchFunctional Group SearchStructure SearchPreferences Administration

selected data collection: 1

IRIS SDF: browse content


1
  <<    <    >    >>  

1:572537 C9H20N2O2
hit structure
1:572538 C8H18N2O2
hit structure
1:572539 C10H22N2O2
hit structure
1:572540 C15H32N2O4
hit structure
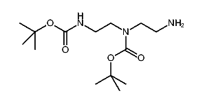
1:572541 C11H24N2O4
hit structure
1:572542 C7H16N2O2
hit structure
1:572543 C14H22N2O2
hit structure
1:572544 C23H26BrN2O2P
hit structure
1:572545 C9H18N2O2
hit structure
1:572546 C9H18N2O2
hit structure
1:572547 C11H22N2O2
hit structure
1:572548 C15H32N2O5
hit structure
1:572549 C13H26N2O2
hit structure
1:572550 C9H20N2O2
hit structure
1:572551 C10H22N2O2
hit structure
1:572552 C13H26N2O2
hit structure
1:572553 C8H18N2O2
hit structure
1:572554 C9H20N2O2
hit structure
1:572555 C11H22N2O2
hit structure
1:572556 C9H20N2O2S2
hit structure
1:572557 C16H26N2O2
hit structure
1:572558 C13H26N2O2
hit structure
1:572559 C14H29N3O4
hit structure
1:572560 C14H29N3O4
hit structure
1:572561 C16H33N3O4
hit structure

1
  <<    <    >    >>  

entries in data collection: 577160