Home Browse Text SearchFunctional Group SearchStructure SearchPreferences Administration

selected data collection: 1

IRIS SDF: browse content


1
  <<    <    >    >>  

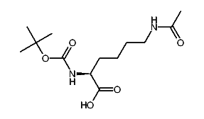
1:572453 C13H24N2O5
hit structure
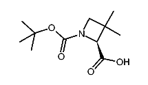
1:572454 C12H21NO4
hit structure
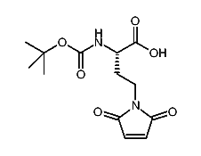
1:572455 C12H23NO4S
hit structure
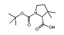
1:572456 C11H19NO4
hit structure
1:572457 C25H30N2O6S
hit structure
1:572458 C20H32N4O6S
hit structure
1:572459 C12H16N2O6
hit structure
1:572460 C13H18N2O6
hit structure
1:572461 C13H24N2O8
hit structure
1:572462 C18H32N2O8Se2
hit structure
1:572463 C27H34N2O6
hit structure
1:572464 C14H16N2O6
hit structure
1:572465 C14H17NO4
hit structure
1:572466 C27H40N4O7S
hit structure
1:572467 C27H43N7O7S
hit structure
1:572468 C10H19NO4
hit structure
1:572469 C9H16N2O5
hit structure
1:572470 C10H17NO6
hit structure
1:572471 C27H22N2O4
hit structure
1:572472 C10H17NO5
hit structure
1:572473 C18H27NO5S
hit structure
1:572474 C11H19N3O6
hit structure
1:572475 C11H16N2O4S
hit structure
1:572476 C11H16N2O4S
hit structure
1:572477 C14H19NO4
hit structure

1
  <<    <    >    >>  

entries in data collection: 577160