Home Browse Text SearchFunctional Group SearchStructure SearchPreferences Administration

selected data collection: 1

IRIS SDF: browse content


1
  <<    <    >    >>  

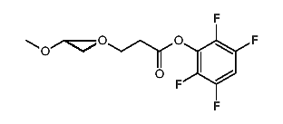
1:570371 C56H100F4O26
hit structure
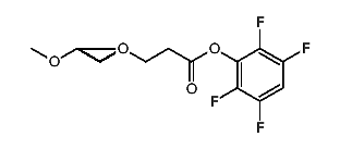
1:570372 C58H104F4O27
hit structure
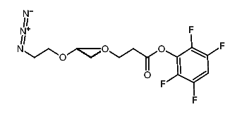
1:570373 C68H114N2O26
hit structure
1:570374 C45H68N2O14
hit structure
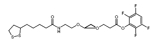
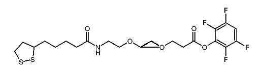
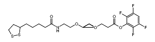
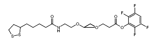
1:570375 C25H35F4NO7S2
hit structure
1:570376 C33H51F4NO11S2
hit structure
1:570377 C41H67F4NO15S2
hit structure
1:570378 C65H115F4NO27S2
hit structure
1:570379 C89H163F4NO39S2
hit structure
1:570380 C66H126N4O26S3
hit structure
1:570381 C20H20F4N2O7
hit structure
1:570382 C24H28F4N2O9
hit structure
1:570383 C32H44F4N2O13
hit structure
1:570384 C40H60F4N2O17
hit structure
1:570385 C64H108F4N2O29
hit structure
1:570386 C88H156F4N2O41
hit structure
1:570387 C115H209F4N3O54
hit structure
1:570388 C19H24BrF4NO7
hit structure
1:570389 C35H56BrF4NO15
hit structure
1:570390 C59H104BrF4NO27
hit structure
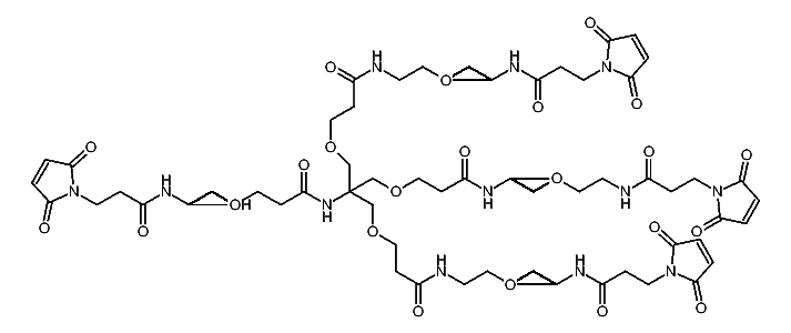
1:570391 C44H70N4O18
hit structure
1:570392 C57H101F4N3O26
hit structure
1:570393 C81H149F4N3O38
hit structure
1:570394 C140H246N12O64
hit structure
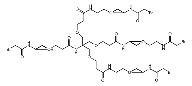
1:570395 C120H230Br4N8O56
hit structure

1
  <<    <    >    >>  

entries in data collection: 577160