Home Browse Text SearchFunctional Group SearchStructure SearchPreferences Administration

selected data collection: 1

IRIS SDF: browse content


1
  <<    <    >    >>  

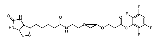
1:570246 C43H69F4N3O16S
hit structure
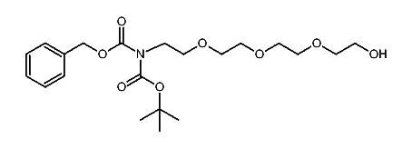
1:570247 C18H34N4O6S
hit structure
1:570248 C14H26N4O6
hit structure
1:570249 C25H30N2O8
hit structure
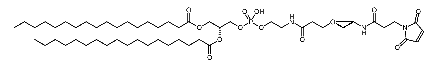
1:570250 C59H116NO17P
hit structure
1:570251 C75H140N3O24P
hit structure
1:570252 C25H44N4O8S
hit structure
1:570253 C10H18N4O5
hit structure
1:570254 C10H21N3O5
hit structure
1:570255 C16H34O8S
hit structure
1:570256 C10H22N4O4
hit structure
1:570257 C4H9N3O2
hit structure
1:570258 C4H9N3O2
hit structure
1:570259 C4H9N3O2
hit structure
1:570260 C4H9N3O2
hit structure
1:570261 C21H25NO5
hit structure
1:570262 C23H29NO6
hit structure
1:570263 C21H33NO8
hit structure
1:570264 C10H19N3O4
hit structure
1:570265 C8H15N3O5
hit structure
1:570266 C18H27NO9
hit structure
1:570267 C11H21NO4
hit structure
1:570268 C18H26N2O7
hit structure
1:570269 C4H10O2S
hit structure
1:570270 C4H10O2S
hit structure

1
  <<    <    >    >>  

entries in data collection: 571530