Home Browse Text SearchFunctional Group SearchStructure SearchPreferences Administration

selected data collection: 1

IRIS SDF: browse content


1
  <<    <    >    >>  

1:569410 C10H12N2O4Se
hit structure
1:569411 C12H13N5O2
hit structure
1:569412 C11H14N2O4Se
hit structure
1:569413 C14H16N8O2
hit structure
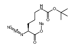
1:569414 C10H17N4NaO4
hit structure
1:569415 C12H13N5O2
hit structure
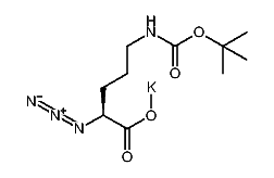
1:569416 C10H17KN4O4
hit structure
1:569417 C15H19N5O2
hit structure
1:569418 C14H17N5O2
hit structure
1:569419 C20H32N4O5S
hit structure
1:569420 C11H23N3O3
hit structure
1:569421 C10H19NO2
hit structure
1:569422 C22H26N2O4
hit structure
1:569423 C20H32N4O5S
hit structure
1:569424 C7H16N2O2
hit structure
1:569425 C6H12N2O3
hit structure
1:569426 C15H16N2O2
hit structure
1:569427 C9H18N2O3
hit structure
1:569428 C10H13NO2
hit structure
1:569429 C9H18N2O3
hit structure
1:569430 C13H14N2O
hit structure
1:569431 C16H16N4O
hit structure
1:569432 C13H14N2O2
hit structure
1:569433 C12H18N2O4
hit structure
1:569434 C12H18N2O4
hit structure

1
  <<    <    >    >>  

entries in data collection: 571530