Home Browse Text SearchFunctional Group SearchStructure SearchPreferences Administration

selected data collection: 1

IRIS SDF: browse content


1
  <<    <    >    >>  

1:568327 C25H21NO4
hit structure
1:568328 C23H25NO4
hit structure
1:568329 C24H27NO4
hit structure
1:568330 C21H22N4O4
hit structure
1:568331 C22H21NO5
hit structure
1:568332 C29H32N2O6
hit structure
1:568333 C22H23NO5
hit structure
1:568334 C27H29NO4
hit structure
1:568335 C26H25NO5Se
hit structure
1:568336 C26H25NO5Se
hit structure
1:568337 C29H38N2O6
hit structure
1:568338 C25H23N3O5
hit structure
1:568339 C25H23N3O5
hit structure
1:568340 C24H20N2O6
hit structure
1:568341 C24H27NO5
hit structure
1:568342 C30H37NO8
hit structure
1:568343 C31H39NO8
hit structure
1:568344 C27H24N2O4
hit structure
1:568345 C32H24F5NO5Se
hit structure
1:568346 C43H60N6O8S
hit structure
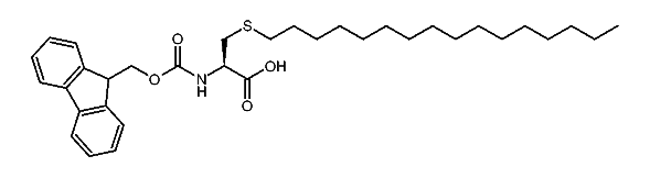
1:568347 C34H49NO4S
hit structure
1:568348 C28H29N3O6
hit structure
1:568349 C26H22N2O6
hit structure
1:568350 C26H22N2O6
hit structure
1:568351 C26H22N2O5
hit structure

1
  <<    <    >    >>  

entries in data collection: 577160