Home Browse Text SearchFunctional Group SearchStructure SearchPreferences Administration

selected data collection: 1

IRIS SDF: browse content


1
  <<    <    >    >>  

1:566041 C35H41N7O11
hit structure
1:566042 C22H32N8O5
hit structure
1:566043 C29H35N9O9
hit structure
1:566044 C22H29N5O5
hit structure
1:566045 C29H32N6O9
hit structure
1:566046 C37H40N6O6
hit structure
1:566047 C44H43N7O10
hit structure
1:566048 C25H32N4O6
hit structure
1:566049 C32H35N5O10
hit structure
1:566050 C19H26N6O4
hit structure
1:566051 C26H29N7O8
hit structure
1:566052 C19H23N3O4
hit structure
1:566053 C26H26N4O8
hit structure
1:566054 C34H34N4O5
hit structure
1:566055 C41H37N5O9
hit structure
1:566056 C20H30ClN3O4
hit structure
1:566057 C30H32ClN3O4
hit structure
1:566058 C21H31ClN6O3
hit structure
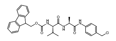
1:566059 C20H26ClN3O3
hit structure
1:566060 C25H33ClN4O5
hit structure
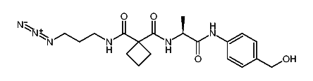
1:566061 C20H29ClN6O4
hit structure
1:566062 C23H32ClN3O5
hit structure
1:566063 C27H30N4O6
hit structure
1:566064 C34H33N5O10
hit structure
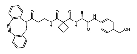
1:566065 C30H36N6O7
hit structure

1
  <<    <    >    >>  

entries in data collection: 571530