Home Browse Text SearchFunctional Group SearchStructure SearchPreferences Administration

selected data collection: 1

IRIS SDF: browse content


1
  <<    <    >    >>  

1:565141 C25H21N3O4
hit structure
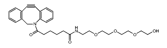
1:565142 C36H42N4O9
hit structure
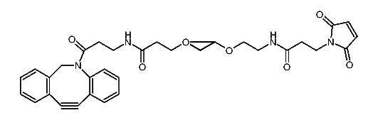
1:565143 C29H36N2O6
hit structure
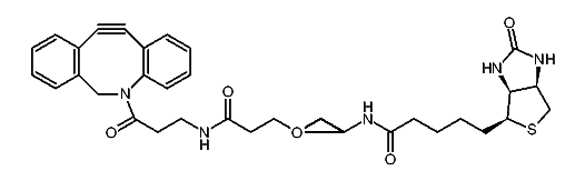
1:565144 C39H51N5O8S
hit structure
1:565145 C26H30N2O4
hit structure
1:565146 C26H30N2O4
hit structure
1:565147 C26H30N2O4
hit structure
1:565148 C26H30N2O4
hit structure
1:565149 C9H6N4O2
hit structure
1:565150 C15H10N2O6
hit structure
1:565151 C16H12N2O6
hit structure
1:565152 C15H10N2O6
hit structure
1:565153 C16H12N2O6
hit structure
1:565154 C12H12N2O6
hit structure
1:565155 C22H29N3O7
hit structure
1:565156 C14H16N2O6
hit structure
1:565157 C13H14N2O6
hit structure
1:565158 C18H16N2O6
hit structure
1:565159 C17H21N3O7
hit structure
1:565160 C21H26O4S3
hit structure
1:565161 C20H21N3O6S2
hit structure
1:565162 C18H22N2O5S
hit structure
1:565163 C21H24N2O4S2
hit structure
1:565164 C14H18N2O2S
hit structure
1:565165 C21H24N2O5S2
hit structure

1
  <<    <    >    >>  

entries in data collection: 565900