Home Browse Text SearchFunctional Group SearchStructure SearchPreferences Administration

selected data collection: 1

IRIS SDF: browse content


1
  <<    <    >    >>  

1:564866 C34H38N4O6
hit structure
1:564867 C48H44N4O4S
hit structure
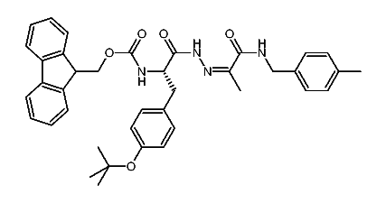
1:564868 C35H40N4O6
hit structure
1:564869 C50H47N5O5
hit structure
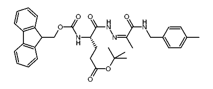
1:564870 C28H28N4O4
hit structure
1:564871 C51H46N6O4
hit structure
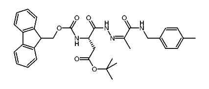
1:564872 C33H38N4O4
hit structure
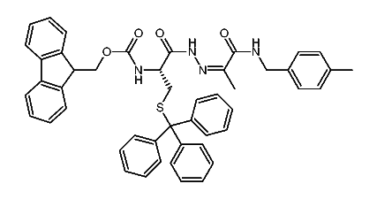
1:564873 C32H36N4O4
hit structure
1:564874 C37H45N5O6
hit structure
1:564875 C31H34N4O4S
hit structure
1:564876 C35H34N4O4
hit structure
1:564877 C31H32N4O4
hit structure
1:564878 C33H38N4O5
hit structure
1:564879 C34H40N4O5
hit structure
1:564880 C42H43N5O6
hit structure
1:564881 C39H42N4O5
hit structure
1:564882 C31H34N4O4
hit structure
1:564883 C23H22ClNO2
hit structure
1:564884 C23H22ClNO2
hit structure
1:564885 C23H22ClNO2
hit structure
1:564886 C39H45ClN4O5S
hit structure
1:564887 C39H45ClN4O5S
hit structure
1:564888 C39H45ClN4O5S
hit structure
1:564889 C37H30ClNO4
hit structure
1:564890 C22H20ClNO2
hit structure

1
  <<    <    >    >>  

entries in data collection: 565900