Home Browse Text SearchFunctional Group SearchStructure SearchPreferences Administration

selected data collection: 1

IRIS SDF: browse content


1
  <<    <    >    >>  

1:564691 C108H203F4NO51
hit structure
1:564692 C85H153F4N5O33
hit structure
1:564693 C53H105NO27
hit structure
1:564694 C33H49F4N5O13
hit structure
1:564695 C59H105F4NO27
hit structure
1:564696 C49H81F4N5O21
hit structure
1:564697 C24H50N4O12
hit structure
1:564698 C73H129F4N5O33
hit structure
1:564699 C28H36F4N2O11
hit structure
1:564700 C59H107N7O21
hit structure
1:564701 C17H21F4N3O6
hit structure
1:564702 C33H53F4N3O14
hit structure
1:564703 C47H83N7O21
hit structure
1:564704 C86H159N3O43
hit structure
1:564705 C71H131N7O33
hit structure
1:564706 C28H56O15
hit structure
1:564707 C32H59NO17
hit structure
1:564708 C34H56F4O15
hit structure
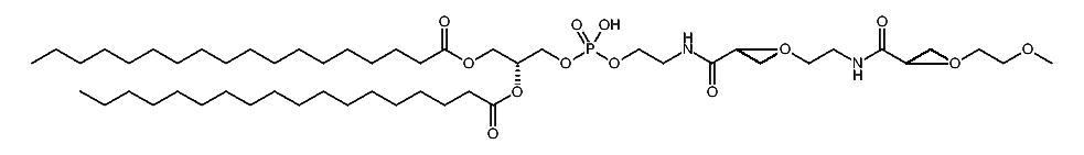
1:564709 C150H289N4O61P
hit structure
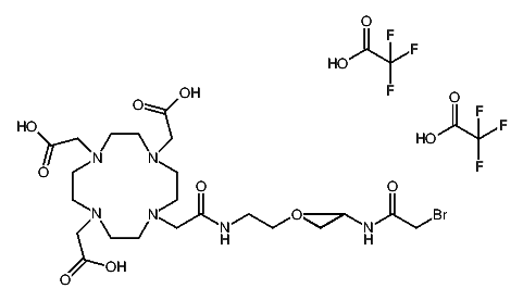
1:564710 C30H49BrF6N6O15
hit structure
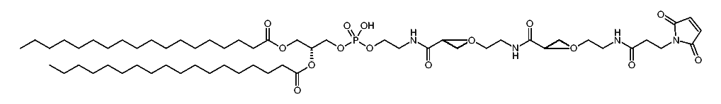
1:564711 C118H233N2O46P
hit structure
1:564712 C42H79BrN6O19
hit structure
1:564713 C144H285N2O59P
hit structure
1:564714 C109H205F4NO52
hit structure
1:564715 C25H28O3S
hit structure

1
  <<    <    >    >>  

entries in data collection: 565900