Home Browse Text SearchFunctional Group SearchStructure SearchPreferences Administration

selected data collection: 1

IRIS SDF: browse content


1
  <<    <    >    >>  

1:564198 C6H14O2S2
hit structure
1:564199 C6H14O2S2
hit structure
1:564200 C6H14O2S2
hit structure
1:564201 C14H16N2O6
hit structure
1:564202 C14H16N2O6
hit structure
1:564203 C14H16N2O6
hit structure
1:564204 C14H16N2O6
hit structure
1:564205 C34H38N2O7S
hit structure
1:564206 C34H38N2O7S
hit structure
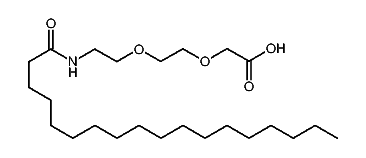
1:564207 C24H47NO5
hit structure
1:564208 C16H36N2O7
hit structure
1:564209 C70H127N3O35
hit structure
1:564210 C74H129NO32
hit structure
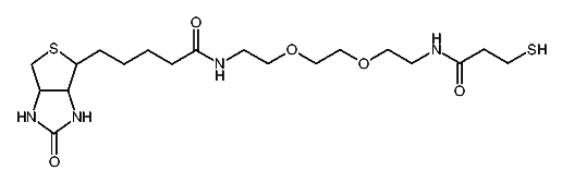
1:564211 C19H34N4O5S2
hit structure
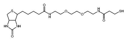
1:564212 C19H34N4O5S2
hit structure
1:564213 C19H34N4O5S2
hit structure
1:564214 C7H15N3O3
hit structure
1:564215 C12H24N2O7
hit structure
1:564216 C54H48N2O6
hit structure
1:564217 C39H41NO7
hit structure
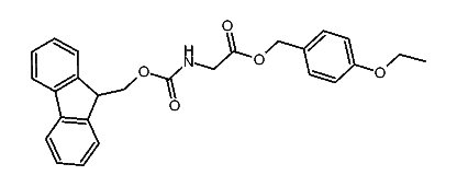
1:564218 C26H25NO5
hit structure
1:564219 C55H47N3O5
hit structure
1:564220 C36H37NO5
hit structure
1:564221 C36H37NO5
hit structure
1:564222 C41H46N2O7
hit structure

1
  <<    <    >    >>  

entries in data collection: 565900