Home Browse Text SearchFunctional Group SearchStructure SearchPreferences Administration

selected data collection: 1

IRIS SDF: browse content


1
  <<    <    >    >>  

1:563973 C22H19Cl2N5O2
hit structure
1:563974 C22H27FN4O2
hit structure
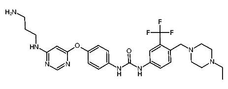
1:563975 C32H38N8O
hit structure
1:563976 C29H36Cl2N6O3
hit structure
1:563977 C28H35F3N8O2
hit structure
1:563978 C26H23F3N4O4
hit structure
1:563979 C26H23F3N4O4
hit structure
1:563980 C28H45N5O6S3
hit structure
1:563981 C12H21N3O2S2
hit structure
1:563982 C23H42N4O6S2
hit structure
1:563983 C28H30N4O3S
hit structure
1:563984 C20H25N7O2S
hit structure
1:563985 C31H46N8O7S
hit structure
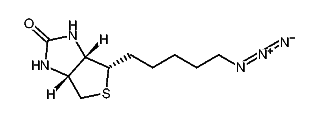
1:563986 C10H17N5OS
hit structure
1:563987 C12H18N2OS
hit structure
1:563988 C10H17N3O2S
hit structure
1:563989 C27H46O
hit structure
1:563990 C23H30N4O2S
hit structure
1:563991 C15H26N6O2S
hit structure
1:563992 C22H31N5O6S2
hit structure
1:563993 C30H43N3O9S
hit structure
1:563994 C10H16N2O6S
hit structure
1:563995 C25H38N8O6S
hit structure
1:563996 C15H23N5O4
hit structure
1:563997 C22H34N4O7S
hit structure

1
  <<    <    >    >>  

entries in data collection: 571530