Home Browse Text SearchFunctional Group SearchStructure SearchPreferences Administration

selected data collection: 1

IRIS SDF: browse content


1
  <<    <    >    >>  

1:561778 C21H23NO4
hit structure
1:561779 C21H23NO5
hit structure
1:561780 C21H23NO4
hit structure
1:561781 C22H25NO4
hit structure
1:561782 C20H21NO4
hit structure
1:561783 C24H26N2O6
hit structure
1:561784 C24H20ClNO4
hit structure
1:561785 C23H19NO4
hit structure
1:561786 C21H21NO4
hit structure
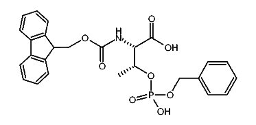
1:561787 C25H24NO8P
hit structure
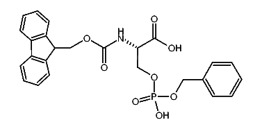
1:561788 C26H26NO8P
hit structure
1:561789 C19H17NO4S
hit structure
1:561790 C25H21NO4
hit structure
1:561791 C26H22N2O4
hit structure
1:561792 C27H25NO5
hit structure
1:561793 C31H28NO8P
hit structure
1:561794 C21H23NO6
hit structure
1:561795 C21H21NO4
hit structure
1:561796 C21H21NO4S
hit structure
1:561797 C19H19NO5
hit structure
1:561798 C27H34N2O6
hit structure
1:561799 C24H22BNO6
hit structure
1:561800 C31H38N4O6S
hit structure
1:561801 C33H35N3O6S
hit structure
1:561802 C29H38N2O6
hit structure

1
  <<    <    >    >>  

entries in data collection: 565900