Home Browse Text SearchFunctional Group SearchStructure SearchPreferences Administration

selected data collection: 1

IRIS SDF: browse content


1
  <<    <    >    >>  

1:561607 C25H24N2O6S
hit structure
1:561608 C34H30F3NO7S
hit structure
1:561609 C39H42N4O7S
hit structure
1:561610 C23H27NO5
hit structure
1:561611 C30H32BNO6
hit structure
1:561612 C34H39BN2O7
hit structure
1:561613 C28H28N2O6
hit structure
1:561614 C45H62N10O13
hit structure
1:561615 C51H72N12O15
hit structure
1:561616 C29H32N2O6
hit structure
1:561617 C25H29NO6
hit structure
1:561618 C26H31NO6
hit structure
1:561619 C27H33NO6
hit structure
1:561620 C25H27NO4
hit structure
1:561621 C28H27NO4
hit structure
1:561622 C28H27NO4
hit structure
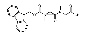
1:561623 C18H17NO4
hit structure
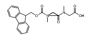
1:561624 C18H17NO4
hit structure
1:561625 C34H40N4O7S
hit structure
1:561626 C36H41F3N4O7S
hit structure
1:561627 C38H32N2O5
hit structure
1:561628 C39H34N2O6
hit structure
1:561629 C23H25NO6
hit structure
1:561630 C25H20N2O4S
hit structure
1:561631 C38H33NO5S
hit structure

1
  <<    <    >    >>  

entries in data collection: 565900