Home Browse Text SearchFunctional Group SearchStructure SearchPreferences Administration

selected data collection: 1

IRIS SDF: browse content


1
  <<    <    >    >>  

1:561007 C12H23NO4
hit structure
1:561008 C12H19N3O4
hit structure
1:561009 C12H19N3O4
hit structure
1:561010 C21H29N3O5
hit structure
1:561011 C23H44N2O5
hit structure
1:561012 C10H17NO4
hit structure
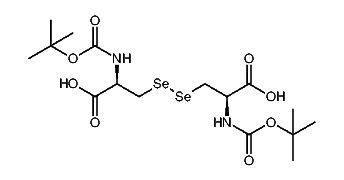
1:561013 C16H28N2O8Se2
hit structure
1:561014 C25H28N2O6
hit structure
1:561015 C13H25NO4
hit structure
1:561016 C11H21NO5
hit structure
1:561017 C12H17NO5
hit structure
1:561018 C12H17NO5
hit structure
1:561019 C13H23NO4
hit structure
1:561020 C16H23NO5Se
hit structure
1:561021 C16H20F3NO4
hit structure
1:561022 C13H25NO4
hit structure
1:561023 C18H35NO4
hit structure
1:561024 C21H41NO4
hit structure
1:561025 C23H45NO4
hit structure
1:561026 C18H34N2O5
hit structure
1:561027 C18H24N2O6
hit structure
1:561028 C18H22N2O6
hit structure
1:561029 C17H25NO5
hit structure
1:561030 C17H25NO5
hit structure
1:561031 C16H21NO6
hit structure

1
  <<    <    >    >>  

entries in data collection: 565900