Home Browse Text SearchFunctional Group SearchStructure SearchPreferences Administration

selected data collection: 1

IRIS SDF: browse content


1
  <<    <    >    >>  

1:560932 C16H23NO4
hit structure
1:560933 C9H14F3NO4
hit structure
1:560934 C9H14F3NO4
hit structure
1:560935 C8H12F2KNO4
hit structure
1:560936 C11H16F3NO4
hit structure
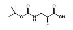
1:560937 C10H16FNO4
hit structure
1:560938 C10H16FNO4
hit structure
1:560939 C10H15F2NO4
hit structure
1:560940 C26H30N2O6
hit structure
1:560941 C24H28N2O6
hit structure
1:560942 C14H17F2NO4
hit structure
1:560943 C8H14FNO4
hit structure
1:560944 C8H14FNO4
hit structure
1:560945 C28H36F2N2O8
hit structure
1:560946 C20H21F2NO4
hit structure
1:560947 C14H16F9NO5
hit structure
1:560948 C14H16F9NO5
hit structure
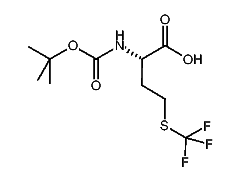
1:560949 C10H16F3NO4S
hit structure
1:560950 C10H17N3O4
hit structure
1:560951 C16H28N4O6
hit structure
1:560952 C11H19N3O4
hit structure
1:560953 C10H15N3O4
hit structure
1:560954 C10H16N4O4
hit structure
1:560955 C10H16N4O4
hit structure
1:560956 C13H17NO4
hit structure

1
  <<    <    >    >>  

entries in data collection: 565900