Home Browse Text SearchFunctional Group SearchStructure SearchPreferences Administration

selected data collection: 1

IRIS SDF: browse content


1
  <<    <    >    >>  

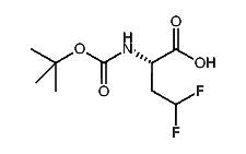
1:560882 C9H15F2NO4
hit structure
1:560883 C14H28N2O4
hit structure
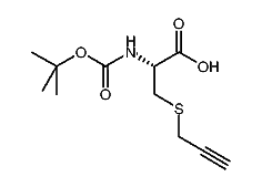
1:560884 C11H17NO4S
hit structure
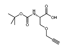
1:560885 C10H15NO5
hit structure
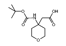
1:560886 C11H17NO5
hit structure
1:560887 C17H21NO5
hit structure
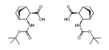
1:560888 C14H19NO4
hit structure
1:560889 C14H19NO4
hit structure
1:560890 C14H19NO4
hit structure
1:560891 C22H34N2O8
hit structure
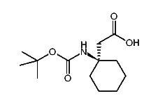
1:560892 C12H21NO4
hit structure
1:560893 C13H23NO4
hit structure
1:560894 C14H25NO4
hit structure
1:560895 C15H27NO4
hit structure
1:560896 C12H21NO5
hit structure
1:560897 C10H17NO4
hit structure
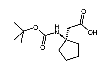
1:560898 C11H19NO4
hit structure
1:560899 C12H21NO4
hit structure
1:560900 C22H38N2O8
hit structure
1:560901 C26H42N2O8
hit structure
1:560902 C26H38N2O8
hit structure
1:560903 C28H50N2O8
hit structure
1:560904 C28H46N2O8
hit structure
1:560905 C24H42N2O8
hit structure
1:560906 C26H46N2O8
hit structure

1
  <<    <    >    >>  

entries in data collection: 565900